Topics - Traditional Knowledge
Traditional Knowledge
First Foods of the Southwest

“To begin planting, you must first plant the rain.”
This is a common saying in Southwest Indigenous Communities, as families prepare year-round for planting season that follows the first thunder and when Dilyéhé (Sparkling Seeds) constellation goes out of sight in the night sky. Navajo Communities rely on dry farming practices passed down for generations to adapt their food systems to the arid climate of the Colorado Plateau. These practices are seen as Traditional Ecological Knowledge (TEK) which are teachings passed down from generations to generations. These dry farming methods rely on water harvesting to capture as much rain during the monsoon season as possible for these desert crops.
Water harvesting or watershed management is a conservation method that captures and stores rainwater from local runoffs to maximize the potential of water. This can be seen as collecting rainwater in tanks or diverting the runoff to be utilized for agriculture. In this case, the local landscape is cultivated to capture nutrients and water for crops. For instance, Indigenous people place their gardens at the bottom of mesas where water is most concentrated, and a natural terrace is formed1. Not only will this area receive periodic water flow, but also increases the quality of the soil as loamy sands are found in alluvial fans, created from the flowing water of canyons, and organic matter and nutrients are deposited in this location. This soil is most preferred as it increases its water-holding capacity. Another example of watershed techniques are waffle gardens. Those not living near canyons, create waffle gardens which are dug and shaped into the soil. As the name goes, the garden has a waffle structure with walls that act as windbreakers and hold in precipitation to maximize water absorption of the soil.
However, as the Colorado Plateau region faces extreme droughts and becomes increasingly dry, dry farming methods become ineffective. Crops are withering and environmental resources are declining for the Diné people. Not only do limited water supplies across the Navajo Nation impact agriculture, but the drought has implications for livestock and home uses2. This can be attributed to climate change with factors such as declining precipitation paired with warming temperatures, prolonged droughts, and increasing migrating sand dunes which negatively impact crops, leading to a chain of events as it disrupts food availability, reduces access to food, and affects food quality3. According to the 2018 US Census data, there is a 25.4% poverty rate for Native Americans (highest among minority groups) and 1 in 5 Native communities are food insecure. This presents a dire situation, especially to rural communities on reservations as many are considered a food desert, and many organic foods are expensive. Many families rely on the food stamp system, which can easily be impacted by food shortages and inflation. Additionally, Native Americans have the highest rate of diabetes and cancer. One of the contributing factors of this is diet, which is composed mainly of highly processed foods such as chips, sodas, etc. that are affordable. Food quality is affected as crops grown become stunted or never fully develop when harvest season comes. Moreover, with the loss of Traditional Ecological Knowledge (TEK), fewer people have the knowledge required to grow their own food in the harsh environment.
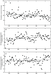
We can tie climate change into these issues when looking at historic trends of precipitation and temperature in the Navajo Nation (Figure 1). It shows an average of 120% of precipitation in the 1920s, but steadily decreased to an average of 90% in the early 2000s4. With the decline in precipitation, there’s an increase in potential evapotranspiration –water loss– from evaporation from the soil and plants that reduces the surface water. 30 perennial streams and lakes on the Navajo Nation are dried up or have become ephemeral, meaning that the streams or lakes only last a short period. While precipitation decreases, the opposite effect is happening to the temperature. The average minimum temperature steadily increased from an average of 3°C in the 1920’s to 4.5°C in the 2000’s. The drought and high temperatures provide an ideal environment for invasive plants to multiply, especially the Russian thistle and cheatgrass increasing competition with crops for nutrients and water5.
Rapidly increasing temperatures, reduced moisture, and high winds during spring create migrating sand dunes that currently occupy over one-third of the Navajo Nation. These sand dunes are from eolian sandy soils not held down by vegetation and soils from streambeds that dried out due to drought. The migrating sand dunes aid in the destruction of the crops, burying them in their path and carrying plant nutrients away, rendering the crops vulnerable in these conditions. Additionally, eolian sediment mobilization can present a health hazard to occupants, affect air quality, and have the potential to destroy homes and block road access as they can move as quickly as tens of meters per year (Draut, Redsteer, and Amoroso 2012).
These factors discourage the Diné people from planting as it’s becoming difficult to adapt to the changing climate and more Indigenous Knowledge is becoming lost through colonization. For instance, Naadą́ą́’, or corn, is a staple food of the Diné people and is planted in Indigenous Communities in large cornfields. There are multiple types of corn grown including blue corn, Indian corn, etc. Different from American sweet corn that you would see in grocery stores, homegrown corn has a hard outer layer on the kernels that allows it to be ground into cornmeal. Due to its sweetness, sweet corn has become more widespread commercially, but because of mutations to increase the sugar content, nutrients were reduced. Not many Indigenous communities grow sweet corn, and instead use seeds collected from previous harvests or local farmers. Naadą́ą́’ is used to prepare many traditional dishes, such as dried steamed corn, kneel-down bread, roasted corn, and blue-corn mush. It is an essential food item that goes beyond nutrition, as it’s an integral part of the ceremonies and traditions of the Diné people. Corn pollen or tádídíín is collected from tassels of corn stalks to be used as offerings in daily prayers or blessings. It’s a symbol of protection and life that brings harmony and balance, which is why it plays essential roles in ceremonies such during a Kinaalda, (coming-of-age ceremony) when girls prepare a large corn cake and sprinkle cornmeal on that cake or for the Blessingway when corn pollen is used for sanctification6. Naadą́ą́’ goes back to the creation story of the Diné, as they were first created from the ear of corn and the skin of Changing Woman. It is one of the four sacred plants given to the Diné people at creation, the three other plants being beans, squash, and tobacco. Each of these four sacred plants was assigned to one of the four cardinal directions. With less families planting due to climate change, there has been a recent revitalization of TEK.

on the Navajo Nation from 1915 to 2010.
Obtained from Draut, Redsteer, and Amoroso 2012.

Organizations such the Hopi Tutskwa Permaculture Institute, founded by Lilian Hill, offer hands-on workshops in Northern Arizona to spread TEK. They host workshops including animal husbandry and indigenous permaculture. Their projects incorporate Hopi teachings with a goal of building resilient and sustainable communities. They also engage Hopi youth with the objective of revitalizing Hopi culture and traditions. The organization hosts the Hopi Farmers Market, providing fresh and organic foods whilst supporting other locally grown foods and connecting local farmers. Their programs vary from educational programs to fellowship programs that all provide hands-on training opportunities in expanding agricultural knowledge.
Tó Nizhóní Ání is a Diné-led organization, founded by Nicole Horseherder. Established in 2001, the organization leads to protect Black Mesa’s aquifers, streams, and land whilst transitioning the region’s power into renewable energy. They bring awareness on environmental issues that impact reservations and fight for climate justice. Their recent projects include sharing Indigenous permaculture and other farming methods to adapt to the changing climate. They hold workshops where they teach students on creating a hoop house garden and planting. Moreover, they also offer more information on other organizations that offer classes or workshops in gardening or identifying local native plants that can be prepared into tea or dishes, used as dyes for wool, etc.
Expanding our indigenous permaculture knowledge can allow us to increase the resilience of our local food system to climate change. Indigenous Tribes have decades of knowledge in working with the land that has been passed down from their ancestors. They harbor knowledge of the land and establish a reciprocal ecological relationship between the land and the people, both mutually benefiting each other as perfectly said in this quote by Kat Brigham, “Tribal people have learned to take care of the land because our land took care of us.” Indigenous knowledge leads to opportunities in offering a variety of approaches to modern science and improving natural resource management. It also has the power to reconnect individuals back to their cultural roots. We have only scratched the surface of a deeper understanding of Traditional Ecological Knowledge. Nevertheless, discoveries have given us a better understanding of the potentials Indigenous knowledge have and being able to make that knowledge widespread can lead to a more sustainable future.
Resources
- Tomer, M. D. 2005. “WATERSHED MANAGEMENT.” In Encyclopedia of Soils in the Environment, edited by Daniel Hillel, 306–15. Oxford: Elsevier.
https://doi.org/10.1016/B0-12-348530-4/00309-X - Thompson A., Kathryn. 2019. “Exploring Indigenous Permaculture for Land Management Strategies: Combining People, Food, and Sustainable Land Use in the Southwest.” Northern Arizona University, December 2019.
https://nau.edu/wp-content/uploads/sites/140/Thompson-MF-Professional-Paper.pdf - McGivney, Annette. 2022. “’The US dammed us up’: How Drought is Threatening Navajo ties to Ancestral Lands.” The Guardian, October 2022.
https://www.theguardian.com/environment/2022/oct/09/the-us-dammed-us-up-how-drought-is-threatening-navajo-ties-to-ancestral-lands - Brown, M.E., J.M. Antle, P. Backlund, E.R. Carr, W.E. Easterling, M.K. Walsh, C. Ammann, W. Attavanich, C.B. Barrett, M.F. Bellemare, V. Dancheck, C. Funk, K. Grace, J.S.I. Ingram, H. Jiang, H. Maletta, T. Mata, A. Murray, M. Ngugi, D. Ojima, B. O’Neill, and C. Tebaldi. 2015. “Climate Change Global Food Security and the U.S. Food System.” U.S. Global Change Research Program, December, 2015.
https://www.usda.gov/sites/default/files/documents/FullAssessment.pdf - Draut, Amy, Margaret Redsteer, and L. Amoroso. 2012. “Vegetation, Substrate, and Eolian Sediment Transport at Teesto Wash, Navajo Nation, 2009-2012.” U.S. Geological Survey Scientific Investigations Report, January, 2012–5095.
https://www.researchgate.net/figure/Trends-in-precipitation-and-temperature-on-the-Navajo-Nation-A-Rainfall-on-the-southern_fig5_284992545 - Mike, Jesse and Talkington, Nore. 2020. “Wildlife Habitat and Invasive Plant Species Prioritization.” Dine Native Plants Program, October 2020.
https://www.nndfw.org/dnpp/docs/Invasive%20Species%20Prioritization.pdf - Raitt, Thomas M. “The Ritual Meaning of Corn Pollen among the Navajo Indians.” Religious Studies 23, no. 4 (1987): 523–30.
https://www.jstor.org/stable/20019246?seq=1 - Hansen, Heather. 2022. “When It Comes to Climate, Western Science Can Learn from Indigenous Communities.” The Story Exchange, March 2022.
https://thestoryexchange.org/traditional-ecological-knowledge-climate-change/ - Moran, Grey. 2021. “The Resurgence of Waffle Gardens Is Helping Indigenous Farmers Grow Food with Less Water.” Civil Eats, October 2021.
https://civileats.com/2021/10/26/resurgence-waffle-gardens-helping-indigenous-peoples-thrive-amid-droughts-grow-food-less-water/
This information page was developed in 2024 by Tynya Kee, an undergraduate student at Northern Arizona University.
CONNECT WITH US
Nikki Cooley
Co-Director
Nikki.Cooley@nau.edu
Karen Cozzetto
Manager
Karen.Cozzetto@nau.edu
Your tax deductible donation supports ITEP’s programming efforts.
Please contact us if you would like to contribute to our endowment or for any additional information regarding donations.